A single night’s sleep, often dismissed as a fleeting inconvenience, may hold the key to predicting a wide array of diseases that could manifest years later.

Scientists have unveiled a groundbreaking artificial intelligence program, SleepFM, capable of analyzing sleep data to forecast risks of conditions such as dementia, heart attacks, strokes, and cancers.
This innovation marks a significant leap in early disease detection, potentially transforming how healthcare professionals approach preventive care.
The SleepFM model was trained on an unprecedented dataset comprising 585,000 hours of sleep recordings from 65,000 participants.
This data was sourced from polysomnography, a comprehensive sleep assessment that captures a range of physiological parameters, including brain waves, eye movements, muscle activity, heart rhythm, breathing patterns, and oxygen levels.

By correlating these detailed sleep metrics with electronic health records spanning up to 25 years, researchers identified a striking connection between sleep patterns and long-term health outcomes.
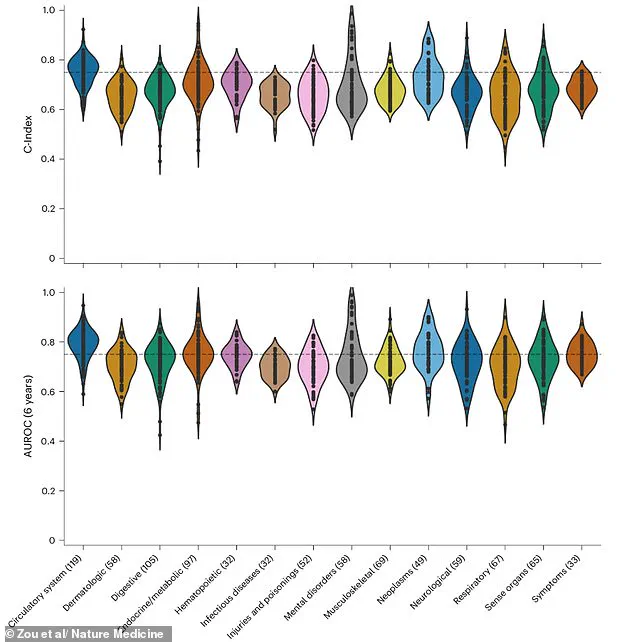
The findings revealed that SleepFM could predict the risk of 130 distinct diseases with notable accuracy.
The model demonstrated particularly strong performance in forecasting cancers, pregnancy complications, circulatory conditions, and mental disorders.
James Zou, one of the lead researchers from Stanford University, emphasized the model’s ability to ‘learn the language of sleep,’ highlighting the team’s surprise at the breadth of conditions for which SleepFM could provide meaningful predictions.

At the core of SleepFM’s functionality is a metric known as the C-index, which quantifies the model’s predictive power.
This index evaluates the model’s ability to rank individuals based on their likelihood of experiencing specific health events, such as a heart attack.
A C-index of 0.8 indicates that the model’s predictions align with actual outcomes in 80% of cases, underscoring its reliability in risk assessment.
The model’s accuracy rates for specific conditions are particularly impressive.
SleepFM achieved an 89% accuracy in predicting Parkinson’s disease, 85% for dementia, and 81% for heart attacks.
It also demonstrated remarkable precision in forecasting breast cancer (87% accuracy) and prostate cancer (89% accuracy), as well as an 84% accuracy in predicting the risk of death.
These figures highlight the model’s potential to serve as a powerful tool in early disease detection.
While current polysomnography studies require specialized clinical equipment, the researchers suggest that this technology could eventually become a routine part of healthcare.
The implications of SleepFM extend beyond mere prediction; they hint at a future where sleep data could be harnessed to identify health risks at an early stage, enabling timely interventions and potentially saving lives.
As the field of sleep medicine continues to evolve, SleepFM stands as a testament to the transformative power of artificial intelligence in advancing medical science.
A groundbreaking study has revealed that while individual biological signals—such as heart, brain, and breathing patterns—each excel at predicting specific health conditions, their combined analysis yields the most accurate disease forecasts.
Researchers discovered that heart signals are most informative for circulatory diseases, brain activity provides critical insights into mental and neurological conditions, and breathing patterns are best at identifying respiratory disorders.
However, it was the integration of all three signal types that achieved the highest predictive accuracy, according to the team’s findings.
This discovery underscores the importance of a holistic approach to health monitoring, where no single data source is relied upon in isolation.
The study’s lead researcher, Dr.
Zou, highlighted a key technical innovation: harmonizing disparate data modalities to create a unified language for AI analysis. ‘One of the technical advances that we made in this work is to figure out how to harmonise all these different data modalities so they can come together to learn the same language,’ Dr.
Zou explained.
This breakthrough allows AI systems to interpret complex, multimodal data—such as simultaneous recordings of heart rate, brain waves, and respiratory patterns—without requiring separate models for each signal type.
The result is a more cohesive and scalable framework for disease prediction, which could revolutionize personalized healthcare.
Sleep, a fundamental biological process, has emerged as a critical window into long-term health outcomes.
The team emphasized that a poor night’s sleep can not only leave someone bleary-eyed the next day but may also serve as an early indicator of diseases that could manifest years later.
By analyzing sleep data from a single night, the researchers’ AI model, named SleepFM, was able to predict 130 distinct medical conditions with a C-Index of at least 0.75—a strong indicator of predictive accuracy.
This capability highlights sleep’s complex and far-reaching relationship with both physical and mental well-being, a connection that has long been underexplored in medical research.
The study, published in the journal Nature Medicine, underscores the transformative potential of foundation models in healthcare. ‘This work shows that foundation models can learn the language of sleep from multimodal sleep recordings, enabling scalable, label-efficient analysis and disease prediction,’ the researchers wrote.
Their findings suggest that AI systems trained on diverse data sources can uncover patterns previously hidden in sleep data, offering new avenues for early disease detection.
The team is now exploring ways to enhance SleepFM’s predictions by incorporating data from wearable devices, such as the Apple Watch, which can provide continuous, real-time health metrics.
Mental health professionals have long recognized the bidirectional relationship between sleep and psychological well-being.
The mental-health charity Mind notes that poor sleep can exacerbate anxiety, and conversely, anxiety can disrupt sleep.
Insomnia is also closely linked to depression, psychosis, and post-traumatic stress disorder (PTSD), creating a cycle that can be difficult to break.
Establishing a consistent sleep routine—going to bed and waking up at the same time each day—can help regulate the body’s internal clock, improving both sleep quality and duration.
Practical strategies for improving sleep hygiene include listening to calming music, practicing breathing exercises, visualizing pleasant memories, and engaging in meditation before bedtime.
Avoiding screens and other electronic devices for at least an hour before sleep can also help the brain transition into a restful state.
For those struggling with persistent sleep issues, maintaining a sleep diary is recommended.
This diary should track the number of hours spent asleep, the quality of sleep on a scale of 1 to 5, the frequency of nighttime awakenings, napping habits, the presence of nightmares, dietary intake, and overall mood.
Such detailed records can provide valuable insights for healthcare providers when diagnosing underlying conditions.
Sleep disturbances may also signal undiagnosed physical health issues, such as chronic pain or other systemic disorders.
In such cases, talking therapies can help individuals identify and address unhelpful thought patterns that interfere with sleep.
While medication, such as sleeping pills, may be necessary for short-term relief from insomnia, the focus should remain on long-term behavioral changes to restore healthy sleep patterns.
As the study demonstrates, the integration of advanced AI with comprehensive sleep data could ultimately lead to more precise, proactive healthcare interventions that prioritize both prevention and early intervention.













